Enem 2024 - Questão 180 - Prova Azul

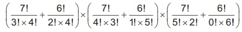
Um hospital tem 7 médicos cardiologistas e 6 médicos neurologistas em seu quadro de funcionários. Para executar determinada atividade, a direção desse hospital formará uma equipe com 5 médicos, sendo, pelo menos, 3 cardiologistas.

A expressão numérica que representa o número máximo de maneiras distintas de formar essa equipe é

Alternativas:

Variantes por Cor do Exame

Esta mesma questão aparece em posições diferentes em cada cor de prova do ENEM. Clique nas variantes abaixo para ver a questão na posição correspondente de cada cor:

Compartilhar Questão

Use o link abaixo para compartilhar esta questão específica:

Anterior
Última