Enem 2024 - Questão 166 - Prova Azul

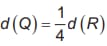
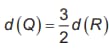
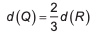
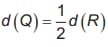
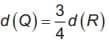
A densidade demográfica de uma região é definida como sendo a razão entre o número de habitantes dessa região e sua área, expressa na unidade habitantes por quilômetro quadrado. Uma região R é subdividida em várias outras, sendo uma delas a região Q. A área de Q é igual a três quartos da área de R, e o número de habitantes de Q é igual à metade do número de habitantes de R. As densidades demográficas correspondentes a essas regiões são denotadas por d(Q) e d(R).

A expressão que relaciona d(Q) e d(R) é

Alternativas:

Variantes por Cor do Exame

Esta mesma questão aparece em posições diferentes em cada cor de prova do ENEM. Clique nas variantes abaixo para ver a questão na posição correspondente de cada cor:

Compartilhar Questão

Use o link abaixo para compartilhar esta questão específica: